小职
2021-03-10
来源 :
阅读 1122
评论 0
摘要:本文主要介绍了Javascript入门到精通:函数式编程的七件武器之Reduce与Map,通过具体的内容向大家展现,希望对大家Javascript的学习有所帮助。
本文主要介绍了Javascript入门到精通:函数式编程的七件武器之Reduce与Map,通过具体的内容向大家展现,希望对大家Javascript的学习有所帮助。

JavaScript是当今流行语言中对函数式编程支持最好的编程语言。函数式编程的七个函数分别为:
- reduce() and reduceRight() to apply an operation to a whole array, reducing it to a single result
- map() to transform one array into another by applying a function to each of its elements
- flat() to make a single array out of an array of arrays
- flatMap() to mix together mapping and flattening
- forEach() to simplify writing loops by abstracting the necessary looping code
以及 search 与 selection 的函数:
- filter() to pick some elements from an array
- find() and findIndex() to search for elements that satisfy a condition
- A pair of predicates, every() and some(), to check an array for a Boolean test
一、array.reduce() 将数列降维至一个值
当我们处理array的时候,总是陷入到无穷尽的loop循环之中,掉入进琐碎的陷阱,戕害我们的思维和大脑。
reduce的基本工作原理如下:

求数列的和
首先从耳熟能详的求数列之和起步。
const myArray = [22, 9, 60, 12, 4, 56];
const sum = (x, y) => x + y;
const mySum = myArray.reduce(sum, 0); // 163
观察其运行轨迹:
#+begin_src js :results output
const myArray = [22, 9, 60, 12, 4, 56];
const sumAndLog = (x, y) => {
console.log(`${x}+${y}=${x + y}`);
return x + y;
};
myArray.reduce(sumAndLog, 0);
#+end_src
#+RESULTS:
: 0+22=22
: 22+9=31
: 31+60=91
: 91+12=103
: 103+4=107
: 107+56=163
求均值
有了reduce,我们得以用“描述”的方式,以decalratively的方式求得average:
const average = arr => arr.reduce(sum, 0) / arr.length;
console.log(average(myArray)); // 27.166667
求均值的第二种方法,将length写到里面:
const average2 = (sum, val, ind, arr) => {
sum += val;
return ind === arr.length - 1 ? sum / arr.length
: sum; //将这作为思考的原材料
};
console.log(myArray.reduce(average2, 0)); // 27.166667s
更近一步,将average作为固有属性:
Array.prototype.average = function() {
return this.reduce((x, y) => x + y, 0) / this.length;
};
let myAvg = [22, 9, 60, 12, 4, 56].average(); // 27.166667
单词计算多个值
虽然 reduce 只能返回单个结果,但是此返回结果却可以包含多个元素,比如是object。
const average3 = arr => {
const sumCount = arr.reduce(
(accum, value) => ({sum: value + accum.sum, count: accum.count + 1}),
{sum: 0, count: 0}
);
return sumCount.sum / sumCount.count;
};
console.log(average3([7, 11, 19, 23]));
以array的方式改写:
const average4 = arr => {
const sumCount = arr.reduce(
(accum, value) => [accum[0] + value, xaccum[1] + 1],
[0, 0]
);
return sumCount[0] / sumCount[1];
};
console.log(average4(myArray)); // 27.166667
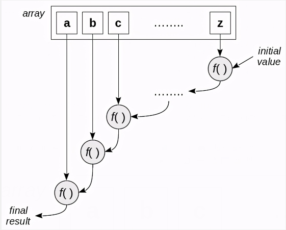
从右往左的折叠
工作原理如下图:

比如 reverse 字符串的常规解决方案为:
const reverseString = str => {
let arr = str.split("");
arr.reverse();
return arr.join("");
};
console.log(reverseString("MONTEVIDEO")); // OEDIVETNOM
而reduceRight的解题方案呢,
const reverseString2 = str =>
str.split("").reduceRight((x, y) => x + y, "");
console.log(reverseString2("OEDIVETNOM")); // MONTEVID
二、array.map 从数学到编程
map首先是数学上的概念。

从object中提取数据
const markers = [
{name: "AR", lat: -34.6, lon: -58.4},
{name: "BO", lat: -16.5, lon: -68.1},
{name: "BR", lat: -15.8, lon: -47.9},
{name: "CL", lat: -33.4, lon: -70.7},
{name: "CO", lat: 4.6, lon: -74.0},
{name: "EC", lat: -0.3, lon: -78.6},
{name: "PE", lat: -12.0, lon: -77.0},
{name: "PY", lat: -25.2, lon: -57.5},
{name: "UY", lat: -34.9, lon: -56.2},
{name: "VE", lat: 10.5, lon: -66.9},
];
let averageLat = average(markers.map(x => x.lat)); // -15.76
let averageLon = average(markers.map(x => x.lon)); // -65.53
// extended array.prototype
let averageLat2 = markers.map(x => x.lat).average();
let averageLon2 = markers.map(x => x.lon).average();
悄无声息的处理数据
看一个我们想当然的应用:
["123.45", "67.8", "90"].map(parseFloat);
// [123.45, 67.8, 90]
["123.45", "-67.8", "90"].map(parseInt);
// [123, NaN, NaN]
这是因为 parseInt 有一个 optional 的参数 radix。
数列的表示方法
现在我们来创建一个 range.
const range = (start, stop) =>
new Array(stop - start).fill(0).map((v, i) => start + i);
// 必须写一个v,也必须写 new
let from2To6 = range(2, 7); // [2, 3, 4, 5, 6]
尝试求乘方:
const range = (start, stop) =>
new Array(stop - start).fill(0).map((v, i) => start + i);
const factorialByRange = n => range(1, n + 1).reduce((x, y) => x * y, 1);
factorialByRange(5); // 120
factorialByRange(3);
尝试字母表:
const ALPHABET = range("A".charCodeAt(), "Z".charCodeAt() + 1).map(x =>
String.fromCharCode(x)
);
// ["A", "B", "C", ... "X", "Y", "Z"]
用 reduce 构造 map
reduce是所有其他函数的起点,
const myMap = (arr, fn) => arr.reduce((x, y) => x.concat(fn(y)), []);
尝试两种不同的解决方案:
const myArray = [22, 9, 60, 12, 4, 56];
const dup = x => 2 * x;
console.log(myArray.map(dup)); // [44, 18, 120, 24, 8, 112]
console.log(myMap(myArray, dup)); // [44, 18, 120, 24, 8, 112]
console.log(myArray); // [22, 9, 60, 12, 4, 56]
我是小职,记得找我
✅ 解锁高薪工作
✅ 免费获取学习教程,开发工具,代码大全,参考书籍

喜欢 | 0
不喜欢 | 0
您输入的评论内容中包含违禁敏感词
我知道了

请输入正确的手机号码
请输入正确的验证码
您今天的短信下发次数太多了,明天再试试吧!
我们会在第一时间安排职业规划师联系您!
您也可以联系我们的职业规划师咨询:
版权所有 职坐标-一站式AI+学习就业服务平台 沪ICP备13042190号-4
上海海同信息科技有限公司 Copyright ©2015 www.zhizuobiao.com,All Rights Reserved.
沪公网安备 31011502005948号